地 址:浙江省永嘉縣甌北鎮黃田工業區
電 話:0577-67980883
手 機:13868633152
郵 箱:278865168@qq.com
一、溫度對加油機付油量的影響
相同質量的燃油在不同溫度時體積是不一樣的,我國的加油機目前忽略了這一點。目前市場上加油機的計量結果,多為油溫在非標準溫度下的量值,加油機在技術上沒有體積溫度修正功能。加油機若不考慮溫度變化因素,計量的量值不為標準溫度20℃的體積,必然會影響計量量值的統一和準確,造成售油誤差。根據國際建議OIML R117-1995《非水液體的測量系統》的規定,加油機可以利用轉換裝置對體積進行修正,將實際的體積測量結果轉換為標準溫度(15℃或20℃)下的體積(對于我國來說,該標準溫度為20℃)。
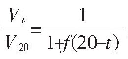
燃油在批發時是按20℃下的體積和密度進行結算的(見JJF1014-1989《罐內液體石油產品計量技術規范》)。加油機的付油量不經體積溫度換算,就等于去掉了量值統一與準確的基礎,交易的公平性也就無從談起。根據油品的體積溫度函數V20=Vt〔1+f(20-t)〕(見GB/T1885-1998《石油計量表》),得
,可見當批發來的罐內油品體積V20一定時,當油溫低于標準溫度20℃時,加油站售油時的付油量Vt﹤V20,經營者會因此蒙受損失。相反,當油溫高于標準溫度20℃時,消費者的利益將會受損。有許多司機曾質疑,為什么同樣加滿一箱油,車跑的里程卻不同,這里面不乏溫度作祟的因素。
二、一種溫度體積修正裝置的設計
根據GB/T1885-1998中體積修正系數VCF的定義:石油在標準溫度下的體積與其在非標準溫度下的體積之比,可以得到用VCF值法求標準體積的公式:V20=Vt×VCF,體積修正系數VCF可從GB/T1885-1998表60B“石油產品體積修正系數表”中查得。因為VCF是根據計量溫度t和標準密度ρ20從“體積修正系數表”查得;而標準密度ρ20是根據計量溫度t和計量密度ρ從GB/T1885-1998表59B“石油產品標準密度表”中查得。因此,油品溫度體積修正裝置原理如圖1所示。

計量溫度t由溫度傳感器獲得,計量密度ρ由密度傳感器獲得,標準密度表和體積修正系數表由廠家根據GB/T1885-1998編輯在計控主板中,加油機電腦會時時根據計量溫度信號t和計量密度信號ρ自動求得標準密度ρ20和體積修正系數VCF,并根據V20=Vt×VCF計算出標準體積后送達指示裝置。
具有溫度體積修正功能的加油機結構如圖2所示。

三、小結
根據OIML R117-1995對加油機體積示值進行修正,是保證量值準確統一,燃油交易公平的必要條件。在目前技術已基本成熟的條件下,計量監督管理機構與加油機生產廠家應積極推動該技術的應用。
上一篇:《燃油加油機檢定規程》解讀
在線客服 |
|---|
聯系電話 聯系手機 |